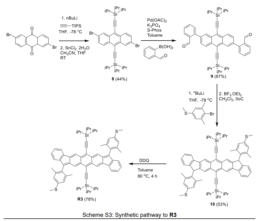
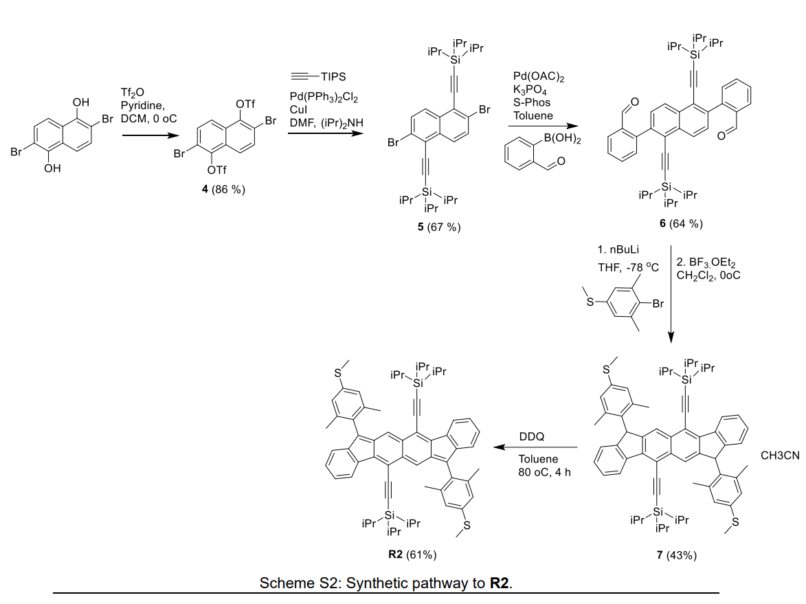
Single-Molecule Conductance, I-V, and NMR spectroscopy for a series of bis(indeno)acenes

Sil, Amit, Vezzoli, Andrea ORCID: https://orcid.org/0000-0002-8059-0113, Nichols, Richard ORCID: https://orcid.org/0000-0002-1446-8275, Higgins, Simon and Morris, James (2024) Single-Molecule Conductance, I-V, and NMR spectroscopy for a series of bis(indeno)acenes. [Data Collection]

Description

As in title. Raw data and LabVIEW VIs for data analysis See README.txt for details

Keywords: radicaloids, bis(indeno)acene, STMBJ
Divisions: Faculty of Science & Engineering > School of Physical Sciences > Chemistry
Date Deposited: 02 Apr 2024 13:47
Last Modified: 02 Apr 2024 13:47
DOI: 10.17638/datacat.liverpool.ac.uk/2638
URI: https://datacat.liverpool.ac.uk/id/eprint/2638

Available Files

Data

Creative Commons: Attribution 4.0
Creative Commons: Attribution 4.0
Creative Commons: Attribution 4.0
Creative Commons: Attribution 4.0
Creative Commons: Attribution 4.0
Creative Commons: Attribution 4.0
Creative Commons: Attribution 4.0
Creative Commons: Attribution 4.0
Creative Commons: Attribution 4.0

Metadata Export