Single-Molecule Conductance, Chemical Characterisation and Raman Data for a set of Carbodithioic Acid Ester compounds.

Ward, Jonathan, Vezzoli, Andrea and Nichols, Richard (2023) Single-Molecule Conductance, Chemical Characterisation and Raman Data for a set of Carbodithioic Acid Ester compounds. [Data Collection]

Description

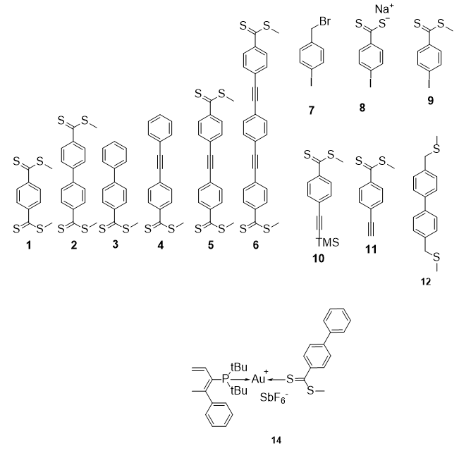
Same as title

Keywords: Carbodithioate, STMBJ, Molecular Electronics, Raman
Divisions: Faculty of Science & Engineering > School of Physical Sciences > Chemistry
Date Deposited: 17 Oct 2023 11:36
Last Modified: 17 Oct 2023 11:36
DOI: 10.17638/datacat.liverpool.ac.uk/2481
URI: https://datacat.liverpool.ac.uk/id/eprint/2492

Available Files

Data

Creative Commons: Attribution 4.0
Creative Commons: Attribution 4.0
Creative Commons: Attribution 4.0
Creative Commons: Attribution 4.0
Creative Commons: Attribution 4.0
Creative Commons: Attribution 4.0
Creative Commons: Attribution 4.0
Creative Commons: Attribution 4.0

Metadata Export