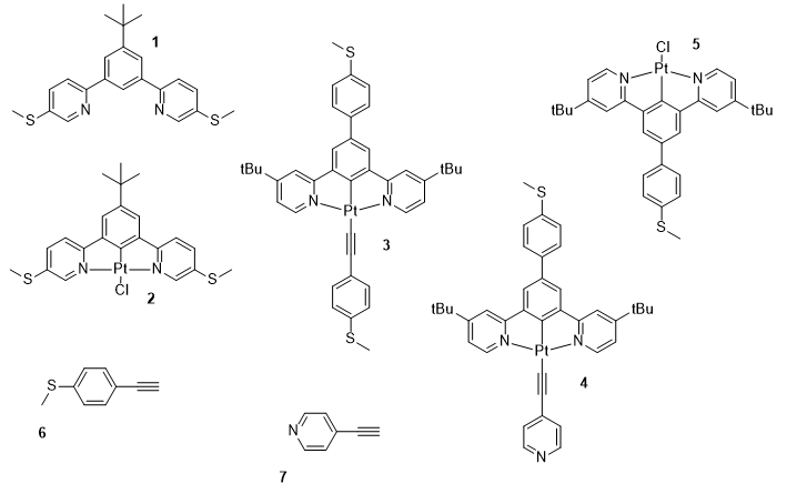
NMR, MS and Single-Molecule Conductance Data for a set of Cyclometalated Pt(II) molecular wires and their precursors.

Vezzoli, Andrea, Sil, Amit and Spano, Chiara (2023) NMR, MS and Single-Molecule Conductance Data for a set of Cyclometalated Pt(II) molecular wires and their precursors. [Data Collection]

Description

As in title.

Keywords: NMR, Single-Molecule Conductance, Molecular Electronics, STMBJ
Divisions: Faculty of Science & Engineering > School of Physical Sciences > Chemistry
Date Deposited: 11 Oct 2023 11:20
Last Modified: 11 Oct 2023 11:20
DOI: 10.17638/datacat.liverpool.ac.uk/2482
URI: https://datacat.liverpool.ac.uk/id/eprint/2482

Available Files

Data

Creative Commons: Attribution 4.0
Creative Commons: Attribution 4.0
Creative Commons: Attribution 4.0
Creative Commons: Attribution 4.0
Creative Commons: Attribution 4.0
Creative Commons: Attribution 4.0
Creative Commons: Attribution 4.0
Creative Commons: Attribution 4.0
Creative Commons: Attribution 4.0
Creative Commons: Attribution 4.0
Creative Commons: Attribution 4.0
Creative Commons: Attribution 4.0
Creative Commons: Attribution 4.0

Metadata Export